Warning: Undefined array key "HTTP_ACCEPT_LANGUAGE" in /home/iflccom/domains/dakikha.com/public_html/lib/Utils.php on line 106

Deprecated: substr(): Passing null to parameter #1 ($string) of type string is deprecated in /home/iflccom/domains/dakikha.com/public_html/lib/Utils.php on line 106
İsrail hükümeti, Gazze ateşkes anlaşmasını onayladı

İsrail hükümeti, Gazze ateşkes anlaşmasını onayladı

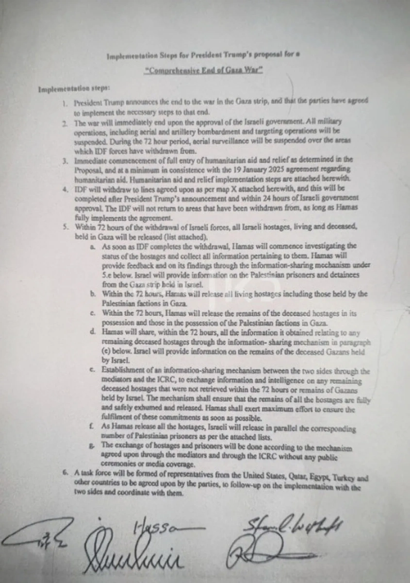
İsrail hükümeti, Mısır'da yürütülen müzakerelerin ardından Gazze'deki ateşkes anlaşmasını kabul etti. Anlaşma, 72 saat içinde tüm askeri operasyonların durdurulmasını, İsrail güçlerinin çekilmesini, rehinelerin serbest bırakılmasını ve insani yardımın başlatılmasını öngörüyor. ABD, Katar, Mısır ve Türkiye'den oluşan uluslararası bir görev gücü anlaşmanın uygulanmasını denetleyecek.

İsrail hükümeti, Gazze ateşkes anlaşmasını onayladı ensonhaber.com
seyma 10 Ekim 2025, 09:21
0

İsrail Başbakanlık Ofisi'nden yapılan açıklamaya göre, Başbakan Binyamin Netanyahu liderliğindeki hükümet Gazze ateşkes anlaşmasını onayladı.

Kabine toplantısına ABD Başkanı Trump'ın Orta Doğu Özel Temsilcisi Steve Witkoff ve Jared Kushner katıldı.

Ulusal Güvenlik Bakanı Itamar Ben-Gvir ve Maliye Bakanı Bezalel Smotrich dahil 5 bakan karşı oy kullandı.

Askeri operasyonların durdurulması

ABD Başkanı Trump'ın duyurusunun ardından Gazze'deki savaş resmen sona erecek.

Hükümet onayının ardından tüm askeri operasyonlar, hava saldırıları ve topçu atışları 72 saat boyunca tamamen durduruluyor.

İsrail güçlerinin çekilmesi

İsrail Savunma Kuvvetleri, hükümet onayından sonraki 24 saat içinde belirtilen sınırlara çekilecek.

Hamas anlaşmaya uyduğu sürece İsrail birlikleri çekildikleri bölgelere geri dönmeyecek.

İnsani yardım ve rehine değişimi

Çekilmenin ardından insani yardım sevkiyatı derhal başlayacak.

Hamas 72 saat içinde tüm İsrailli rehineleri serbest bırakacak, İsrail de belirli sayıda Filistinli mahkumu serbest bırakacak.

Değişim süreci gizlilikle gerçekleştirilecek.

Uluslararası denetim

Anlaşmanın uygulanmasını denetlemek üzere ABD, Katar, Mısır, Türkiye ve diğer ülkelerin temsilcilerinden oluşan bir görev gücü kurulacak.

İsrail hükümeti, Gazze ateşkes anlaşmasını onayladıİsrail hükümeti, Gazze ateşkes anlaşmasını onayladı
İLGİLİ YAZILAR
İsrail ordusu Gazze'den çekiliyor: Ateşkes sonrası ne olacak?

İsrail ordusu Gazze'den çekiliyor: Ateşkes sonrası ne olacak?

İsrail basınından Netanyahu'ya sert sözler: Çöküşün eşiğindeyiz

İsrail basınından Netanyahu'ya sert sözler: Çöküşün eşiğindeyiz

Ben-Gvir'den Netanyahu'ya 'ateşkes' tehdidi: Hamas kalırsa hükümetten çekiliriz

Ben-Gvir'den Netanyahu'ya 'ateşkes' tehdidi: Hamas kalırsa hükümetten çekiliriz

Hamas'tan açıklama: "Kalıcı ateşkes bugün başladı, Refah kapısı açılacak"

Hamas'tan açıklama: "Kalıcı ateşkes bugün başladı, Refah kapısı açılacak"

Gazze ateşkesinde Türkiye'nin kritik rolü: Dünya basınından övgü

Gazze ateşkesinde Türkiye'nin kritik rolü: Dünya basınından övgü

Ateşkes sonrası Gazze'ye insani yardım tırları geçmeye başladı

Ateşkes sonrası Gazze'ye insani yardım tırları geçmeye başladı

Ateşkes sonrası Gazze'de büyük göç: Yüzbinlerce kişi evlerine dönüyor

Ateşkes sonrası Gazze'de büyük göç: Yüzbinlerce kişi evlerine dönüyor

Gazze'de ateşkes sonrası acı tablo: Filistinliler, harabeye döndü

Gazze'de ateşkes sonrası acı tablo: Filistinliler, harabeye döndü

Milli Savunma Bakanlığı'ndan Gazze mesajı: TSK hazır

Milli Savunma Bakanlığı'ndan Gazze mesajı: TSK hazır

Hamas'tan sert tepki: 'İsrail, sivilleri vurarak ateşkesi engellemeye çalışıyor'

Hamas'tan sert tepki: 'İsrail, sivilleri vurarak ateşkesi engellemeye çalışıyor'

Gazze'de ateşkes imzalandı: Mısır'da nihai anlaşma tamam, gözler Netanyahu kabinesinde

Gazze'de ateşkes imzalandı: Mısır'da nihai anlaşma tamam, gözler Netanyahu kabinesinde

Gazze için kritik süreç: Hamas-İsrail ateşkesi ve esir takası detayları belli oldu

Gazze için kritik süreç: Hamas-İsrail ateşkesi ve esir takası detayları belli oldu

Dünya
Okur Görüşleri

Yorumlar 0

Habere düşünceni bırak, yanıtlarla sohbeti devam ettir.

0 onaylı yorum
Henüz yorum yok. İlk yorumu siz yazın!

Dünya - İLGİLİ HABERLER

Trump enerji tesislerine saldırıyı erteledi, askeri operasyonlar devam ediyor

ABD ile İsrail'in İran'a başlattığı operasyonların 25. gününde savaş tüm şiddetiyle sürüyor. Trump'ın İran ile görüşme yapıldığını açıklaması ve enerji tesislerine yönelik saldırıları beş gün ertelemesi barış umudu yaratsa da Tahran bunu yalanladı ve saldırılara devam etti. ABD, askeri hedeflere yönelik operasyonların süreceğini açıklarken İran, İsrail'e yeni bir füze dalgası daha fırlattı.

Dünya
LaGuardia'da korku dolu anlar: Uçak piste inen itfaiye aracına çarptı

New York'taki LaGuardia Havalimanı'nda Montreal'den gelen CRJ-900 tipi yolcu uçağı, iniş sırasında pist üzerindeki bir itfaiye aracıyla çarpıştı. Kaza sonucunda ölü ve yaralıların bulunduğu bildirilirken havalimanı operasyonları durduruldu ve bölgeye çok sayıda acil durum ekibi sevk edildi. New York İtfaiye Departmanı olayı doğruladı ancak ayrıntı paylaşmadı.

Dünya
İran Savaşı'nda gerilim tırmanıyor: Elektriğe vurursanız biz de vururuz

ABD ve İsrail'in saldırılarıyla başlayan İran Savaşı'nın 24. gününde çatışmalar şiddetlenerek devam ediyor. Trump'ın Hürmüz Boğazı için verdiği 48 saatlik ültimatomuna İran, elektrik santrallerine karşılıklı misilleme yapacağını ve deniz mayını döşeyeceğini açıklayarak yanıt verdi. Tel Aviv, Kudüs ve Riyad füze saldırılarının hedefi olurken İsrail de Tahran'daki altyapıyı vuran geniş çaplı saldırı başlattı.

Dünya
İsrail, Ben Gurion Havalimanı'nda uçuş kapasitesini yarıya indirdi

İsrail, İran'ın Arad ve Dimona'ya düzenlediği misilleme saldırılarının ardından Ben Gurion Havalimanı'nda güvenlik kısıtlaması uygulamaya koydu. Ulaştırma Bakanı Regev'in açıklamasına göre saatlik uçuş sayısı ikiden bire düşürülürken yolcu kapasitesi de 120'den 50'ye indirildi. Yetkililer, güvenlik durumuna göre bu önlemlerin her an değişebileceğini vurguluyor.

Dünya
Trump'tan İran'a 48 saatlik ültimatom: Hürmüz'ü aç yoksa enerji santrallerini vururuz

ABD Başkanı Trump, İran'a Hürmüz Boğazı'nı 48 saat içinde tamamen açması için ültimatom verdi; aksi halde İran'ın enerji santrallerini vuracağını açıkladı. İran Devrim Muhafızları ise enerji altyapısının hedef alınması durumunda boğazı tamamen kapatacaklarını ve Körfez'deki ABD bağlantılı tesisleri vuracaklarını duyurdu. İran Cumhurbaşkanı Pezeşkiyan, Trump'ın tehditlerini "çaresizlik göstergesi" olarak nitelendirdi.

Dünya
Batı Şeria'da yerleşimci vahşeti: 15 köy yakıldı, 9 kişi hastaneye kaldırıldı

Batı Şeria'da gece yarısı yüzlerce İsrailli yerleşimci aynı anda harekete geçerek 15'ten fazla Filistin köy ve kasabasını ateşe verdi; aileler alevler arasında mahsur kalırken yaşlı siviller demir sopalarla dövüldü. İsrail güvenlik birimlerinin saatlerce süren saldırılara müdahale etmemesi, olayların devlet destekli olduğu iddialarını güçlendirdi. En az 9 kişi hastaneye kaldırılırken Filistinliler acil uluslararası müdahale çağrısında bulunuyor.

Dünya
İran Savaşı'nda gerilim tırmanıyor: Hürmüz kapanabilir, Hark işgal edilebilir

İran Savaşı'nın 23. gününde İran, enerji altyapısının hedef alınması halinde Hürmüz Boğazı'nı tamamen kapatacağını ve bölgedeki ABD ortaklı tüm tesisleri vuracağını açıklarken ABD de Hark Adası'nın işgali dahil tüm seçeneklerin masada olduğunu duyurdu. Tahran'da patlamalar yaşanırken İran, Natanz'a yapılan saldırıya misilleme olarak İsrail'in Arad kentini füzelerle vurdu ve en az 88 kişi yaralandı. Netanyahu Avrupa liderlerini savaşa katılmaya çağırırken İran 23 günde 5 bini aşkın füze ve İHA kullandığını açıkladı.

Dünya
İran savaşının faturası: 20 günde 25 milyar dolar harcandı

ABD, İran'a yönelik saldırıların ilk 20 gününde 25 milyar dolardan fazla harcadı; Pentagon'un Kongre'ye 200 milyar dolarlık ek bütçe talebinde bulunmayı planladığı öne sürülüyor. Bu rakamın, dünya genelindeki aşırı yoksulluğu 15-20 yıl boyunca ortadan kaldırmaya ya da Gazze'yi 4 kez yeniden inşa etmeye yeteceği hesaplanıyor. Öte yandan Katar'daki LNG tesislerindeki hasar küresel enerji arzını vururken bölge ülkeleri de her gün milyarlarca dolarlık ekonomik kayba uğruyor.

Dünya
İran Dimona'yı vurdu: Nükleer santral bölgesine füze isabet etti

ABD ve İsrail'in saldırılarıyla başlayan İran Savaşı 22. gününde tırmanmaya devam ediyor; İran, Natanz'a yapılan saldırıya karşılık olarak İsrail'in Dimona Nükleer Santrali'nin bulunduğu kenti 6 dalga füzeyle vurdu ve 39 kişi yaralandı. Çatışmalar Irak, Lübnan ve Körfez ülkelerindeki üslere kadar yayılırken Trump ateşkes istemediğini açıkladı ve İsrail önümüzdeki hafta saldırıları daha da yoğunlaştıracağını duyurdu. Hürmüz Boğazı'nın kapalı kalması petrol fiyatlarını yüzde 50 artırırken ABD, artan enerji maliyetlerini frenlemek için İran petrolüne yönelik yaptırımları 30 günlüğüne askıya aldı.

Dünya
Rusya'dan İran'a açık destek: Bu zor günlerde yanınızdayız

Putin, Nevruz Bayramı dolayısıyla birçok ülke liderine tebrik mesajı gönderdi. Bu mesajlar arasında öne çıkan İran'a yönelik ifadelerinde Putin, Moskova'nın Tahran'ın sadık dostu ve güvenilir ortağı olmayı sürdürdüğünü açıkça vurguladı. İran'ın yaşadığı saldırıları "zorlu sınav" olarak nitelendiren Putin, bu süreçte İran halkına destek mesajı verdi.

Dünya
Tokyo Camii'nde bayram yoğunluğu: Namaz 5 kez kılındı

Tokyo ve çevresinde yaşayan binlerce Müslüman, Ramazan Bayramı namazı için Tokyo Camii'nde bir araya geldi; yoğun katılım nedeniyle namaz 5 kez ardı ardına 4 farklı imam tarafından kıldırıldı. Türkiye, Endonezya ve ABD başta olmak üzere dünyanın pek çok ülkesinden Müslüman, bu buluşmada bir arada ibadet etmenin mutluluğunu yaşadı.

Dünya
Mücteba Hamaney barış teklifini reddetti: ABD ve İsrail yenilmeli

Reuters'ın üst düzey bir İranlı kaynağa dayandırdığı habere göre İran'ın yeni lideri Mücteba Hamaney, iki arabulucu ülke aracılığıyla iletilen gerilimi azaltma ve barış tekliflerini reddetti. Hamaney, ABD ve İsrail'in yenilgiye uğraması ve İran'a savaş tazminatı ödenmesi gerektiğini savunarak müzakere kapısını kapattı.

Dünya
Trump'ın Küba hesabı: Kriz fırsata mı dönüşüyor?

Trump, derin bir ekonomik ve enerji krizine sürüklenen Küba'yı "alma onurunun" kendisine ait olacağını açıkladı. ABD'nin petrol sevkiyatlarını keserek adayı baskı altına aldığı bu süreçte Washington, müzakerelerde Küba liderinin görevden ayrılmasını da gündeme taşıdı. Küba ise iç işlerine müdahaleyi kabul etmeyeceğini net biçimde ortaya koydu.

Dünya
İran'dan resmi açıklama: Washington ile temas iddiaları asılsız

İran Dışişleri Bakanı Arakçi, Tahran'ın ABD ile doğrudan temas halinde olduğuna dair haberlerin gerçeği yansıtmadığını açıkladı. Trump'ın Orta Doğu Temsilcisi Witkoff ile son iletişimin ABD-İsrail saldırılarından önce yaşandığını belirten Arakçi, bu tür iddiaların kamuoyunu ve petrol piyasasını yanıltmaya yönelik olduğunu vurguladı.

Dünya
Trump: İran'a müdahale etmeseydik nükleer savaş kaçınılmazdı

ABD Başkanı Trump, İran'ın nükleer tesislerine yönelik gerçekleştirilen saldırıların üçüncü dünya savaşını engellediğini savundu. Savaşın yakında biteceğini belirten Trump, İran'ın donanma, hava kuvvetleri ve liderlik yapısının büyük ölçüde tasfiye edildiğini açıkladı. Ayrıca müttefiklerin operasyona destek vermemesinden duyduğu hayal kırıklığını dile getirerek İngiltere başta olmak üzere pek çok ülkeyi eleştirdi.

Dünya
Trump'tan İran iddialarına sert yanıt: O gemi hiç yanmadı

Trump, İran'ın USS Abraham Lincoln uçak gemisine saldırdığı ve gemiyi etkisiz hale getirdiği iddialarını kesinlikle reddederek paylaşılan görüntülerin sahte olduğunu söyledi. İran rejiminin 32 bin protestocuyu öldürdüğünü ve rejim destekçisi gösterilerin yapay zeka ile üretildiğini öne süren Trump, savaşın sonuçlandırılması konusunda inisiyatifin ABD'de olduğunu ancak anlaşma yapıp yapmama konusunda henüz karar vermediğini belirtti.

Dünya
ABD-İsrail-İran savaşı 17. gününde: Cephede son durum

ABD ve İsrail'in İran'a saldırısıyla başlayan savaş 17. gününe girerken Trump, savaşın çok uzun sürmeyeceğini belirtti ve İran'ın hava kuvvetleri ile donanmasının büyük ölçüde tasfiye edildiğini açıkladı. İsrail, Lübnan'a kara harekâtı başlatırken İran da Tel Aviv dahil İsrail'in merkez ve güneyine iki aşamalı füze saldırısı düzenledi. Savaşın bilançosu ağırlaşmaya devam ediyor; yalnızca Tahran'da 503 kişi hayatını kaybetti, BAE'deki liman ve yakıt tesisleri de İran saldırılarından nasibini aldı.

Dünya
İsrail Kara Kuvvetleri Güney Lübnan'da operasyon başlattı

İsrail ordusu, Lübnan'ın güneyinde Hizbullah mevzilerine karşı "sınırlı ve hedefli" bir kara operasyonu başlattığını duyurdu. İsrail tankları Yarun ve Maron er-Ras beldelerinde Lübnan topraklarına girerken, Adisa-Tayba hattında çatışmalar sürdü. 2 Mart'tan bu yana devam eden İsrail saldırılarında can kaybı 886'ya, yaralı sayısı ise 2 bin 141'e ulaştı.

Dünya
Hürmüz Boğazı'na gemi çağrısına Japonya ve Güney Kore'den temkinli yanıt

ABD Başkanı Trump, Hürmüz Boğazı'nın güvenliğini sağlamak için Japonya ve Güney Kore dahil birçok ülkeden bölgeye savaş gemisi göndermesini istedi. Her iki ülke de talebi "dikkatle değerlendireceklerini" açıklarken Japonya, gemi göndermenin "aşılması son derece zor bir eşik" olduğunu vurguladı. Hürmüz Boğazı'ndaki gerilim, İran Savaşı'nın küresel boyutunu ve Asya'nın bu krizle ilişkisini giderek daha kritik bir noktaya taşıyor.

Dünya
Haaretz: İsrail ordusu İran'a nükleer seçeneği masaya yatırdı

İsrail'in önde gelen gazetesi Haaretz, ordunun İran'a karşı nükleer silah kullanma ihtimalini değerlendirdiğini öne sürdü. İsrail'in hava savunma stoklarındaki daralmanın ardından "stratejik caydırıcılık" adıyla en uç askeri seçeneklerin kapalı kapılar ardında tartışıldığı iddia edildi. Uzmanlar bu gelişmeyi, savaşın küresel bir felaket riskine doğru evrildiğinin en ciddi işareti olarak değerlendiriyor.

Dünya
Kategoriler